点击上方蓝色“Go语言中文网”关注我们,领全套Go资料,每天学习 Go 语言
这里记录每周值得分享的 Go 语言相关内容,周日发布。
本周刊开源(GitHub:polaris1119/golangweekly[1]),欢迎投稿,推荐或自荐文章/软件/资源等,请提交 issue[2] 。
由于微信公众号不支持外链,文章链接可通过文末 「阅读原文」 查看。
鉴于大部分人可能没法坚持把英文文章看完,因此,周刊中会尽可能推荐优质的中文文章。优秀的英文文章,我们的 GCTT 组织会进行翻译。

题图:这是 reddit 上发布者从女友那得到的圣诞礼物,是不是很可爱?!
刊首语
快过年了,又面临抢票这个难题。这不,GitHub 上这周趋势排行榜 1、2 位都是 12306 相关,不过都是 Python 的,没人用 Go 搞搞呢?

你抢到回家的车票了吗?反正我是没抢到。
资讯
1、Prometheus 2.15.0 发布,Go 编写的服务监控系统[3]
Prometheus 2.15.0 发布了,Prometheus 是一个 Go 语言开发的开源的服务监控系统和时间序列数据库。该版本引入了一些新特性,比如记录其他组件、增强功能和修复 bug,这些都是为了提高可用性。
2、Proxy-Go v8.8 发布,新增 iptables 透明转发支持,网关轻松实现全局透明代理[4]
1)sps 代理增加了当系统是 Linux 的时候,支持通过 iptables 透明转发过来的 tcp 连接请求。利用此功能实现路由器等网关设备为其它设备实现全局透明代理,详细教程可以参考项目主页 wiki 里面的《透明代理》。2)修复使用代理后,网易云音乐 UWP 应用无法正常使用的问题。3)修复了 http/sps 反向代理 https 不能工作的问题。4)优化了 http 代理,兼容一些旧的 http 客户端发送 http 代理请求时,使用不标准的 URL 情况。
3、golang 流式 http client gout v0.0.5 版本发布[5]
做 github 最好用的 http client 库,让你体会到还没有爽玩,活已经干玩。
4、jackal v0.8.0 发布,增加 context 支持[6]
用 Go 编写的 XMPP 服务器。
5、Proposal: Go2: Drying up Error Handling in Go[7]
我们仍在尝试可能的方法,以简化 Go 的未来版本中的错误处理。
6、Hugo v0.62.0 发布;圣诞节版本[8]
此版本带来 Markdown Render Hooks。

文章
对于许多 Go 开发者来说,考虑到性能,最佳实践是系统地使用指针而非结构体副本。我们将回顾两个用例,来理解使用指针而非结构体副本的影响。
1)大神是如何学习 Go 语言之浅谈 select 的实现原理
2)大神是如何学习 Go 语言之 panic 和 recover 的原理
3、使用多年的 go pprof 检查内存泄漏的方法居然是错的?!
另一种使用方式可以了解一下。
我们将会展示一个关于 for 循环的代码,将输入分成几个序列添加到 Goroutines 里面!我敢打赌你之前可能有过几次这种情况,但是每次引入 gorountine 都让你的代码变得更快吗?
5、我是如何在大型代码库上使用 pprof 探索 Go 中的内存泄漏
我们知道 Go 拥有一个良好的社区和一个非常棒的工具集,所以我们选择了 Go。
6、100 行左右有效 Go 代码实现 tcp server & graceful shutdown
工作需要快速写了个tcpserver的框架,有效代码差不多 100 行左右,写篇文章分享下实现思路, 顺便解释一下如何实现类似网络服务的Graceful Shutdown功能。
cache line padding 适用于多个相邻的变量频繁被并发读写的场景。
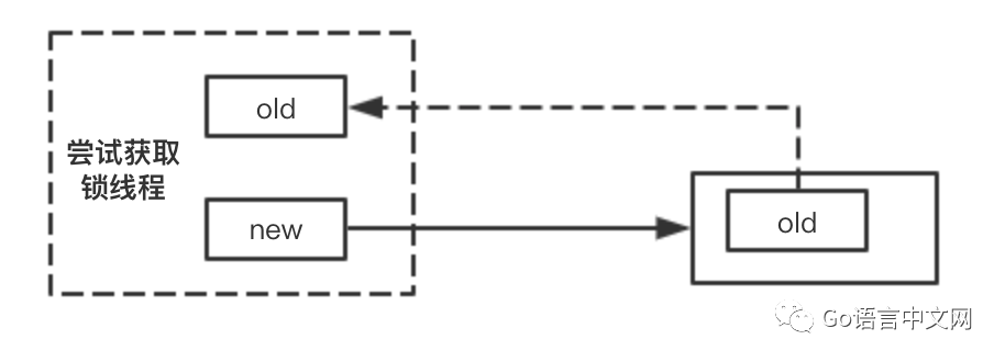
8、图解 Go 里面的互斥锁 mutex 了解编程语言核心实现源码[9]
丰富的图讲解。

9、Go 里面的读写锁与源码实现[10]
读写锁区别与互斥锁的主要区别就是读锁之间是共享的,多个 goroutine 可以同时加读锁,但是写锁与写锁、写锁与读锁之间则是互斥的。

10、GORM 之 ErrRecordNotFound 采坑记录[11]
在我印象中有个错误的认知:如果 GORM 没有找到 record,则会返回 ErrRecordNotFound 的错误,直到上次业务中出现了 bug,我才发现这个印象中的认知是错误的,且没有官方文档的支持。那么,ErrRecordNotFound 到底在什么时候返回呢,这篇文章将会根据源码来进行分析一下。
11、提升 Go 磁盘 IO 性能的尝试[12]
并发是个比较难理解的东西。Go 是谷歌创建的一门编程语言,它通过轻量级线程(协程)提供了容易理解的并发抽象。减轻了并发编程的难度。为了支持这些 Goroutine,Go 使用 runtime 将 Goroutine 多路复用到 OS 线程上,为了简化磁盘 IO,Go 保留了一组 IO 线程,用于阻塞 IO 以提升 CPU 的使用率。

12、GOMAXPROCS 与容器的相处之道[13]
本文从 Docker 和 Kubernetes 对 CPU 资源的限制出发,利用实验的方式验证了这一问题,并且给出了一些个人看法。
13、谈谈 go.sum[14]
众所周知,Go 在做依赖管理时会创建两个文件,go.mod 和 go.sum。相比于 go.mod,关于 go.sum 的资料明显少得多。自然,go.mod 的重要性不言而喻,这个文件几乎提供了依赖版本的全部信息。而 go.sum 看上去就是 go module 构建出来的天书,而不是什么人类可读的数据。
开源项目
1、evalfilter[15]
在 Go 应用嵌入小型脚本引擎。
2、age[16]
一个简单,安全和现代的加密工具。
3、chromedp[17]
驱动浏览器的 Go 语言库,支持 Chrome DevTools 协议。抓取动态网页利器。
4、sqlstats[18]
采集 sql.DBStats 并以 Prometheus 格式导出。
5、buf[19]
一种新的 Protobuf 处理库。
6、coca: 系统重构和系统分析工具箱[20]
Coca 是一个用于系统重构、系统迁移和系统分析的瑞士军刀。它可以分析代码中的 badsmell,行数统计,分析调用与依赖,进行 Git 分析,以及自动化重构等。

7、eris: 处理跟踪和记录 Go 中的错误[21]
提供了一种更好的方式来处理,跟踪和记录 Go 中的错误。
8、go-term-markdown[22]
Go Markdown 终端渲染库。
9、trdsql[23]
可以在 CSV,LTSV,JSON 和 TBLN 上执行 SQL 查询的 CLI 工具。可以输出各种格式。

资源&&工具
1、KubeCon North America 2019 视频列表[24]
国内似乎还没有类似的大会?
2、go-flutter[25]
基于 flutter 构建桌面应用。

3、go time 播客 108 期[26]
Go 与图数据库。
4、以软件工程师的身份学习硬件编程[27](英文)

硬件编程的人员应该很少吧。

5、Go 常见错误[28]
官方 Wiki 总结的。
6、dockertags[29]
通过 CLI 获取容器 镜像、标签等信息。
7、为什么在此 fib 测试中 Go 如此之慢?[30]
Reddit 上有人解释:[31]
1)fib 函数根本不执行任何操作,因此基准测试实际上是在测量函数调用的开销;
2)而 Go 语言因为 goroutine 的机制,每个函数调用会多一些指令,同时在必要时会扩展堆栈,这是有开销的。
你怎么看?
8、Go 语言实现常用数据结构和算法[32]
对算法感兴趣,特别是大学生,建议学习学习。
订阅
这个周刊每周日发布,同步更新在Go 语言中文网[33]、微信公众号[34] 和 今日头条[35]。
微信搜索"Go 语言中文网"或者扫描二维码,即可订阅。

参考资料
polaris1119/golangweekly: https://github.com/polaris1119/golangweekly
[2]提交 issue: https://github.com/polaris1119/golangweekly/issues
[3]Prometheus 2.15.0 发布,Go 编写的服务监控系统: https://www.oschina.net/news/112335/prometheus-2-15-released
[4]Proxy-Go v8.8 发布,新增 iptables 透明转发支持,网关轻松实现全局透明代理: https://www.oschina.net/news/112277/proxy-go-8-8-released
[5]golang 流式 http client gout v0.0.5 版本发布: https://www.oschina.net/news/112272/gout-0-0-5-released
[6]jackal v0.8.0 发布,增加 context 支持: https://github.com/ortuman/jackal/releases/tag/v0.8.0
[7]Proposal: Go2: Drying up Error Handling in Go: https://github.com/golang/go/issues/36284
[8]Hugo v0.62.0 发布;圣诞节版本: https://gohugo.io/news/0.62.0-relnotes/
[9]图解Go里面的互斥锁mutex了解编程语言核心实现源码: http://www.sreguide.com/2019/12/23/go/sync_mutex/
[10]Go里面的读写锁与源码实现: http://www.sreguide.com/2019/12/20/go/sync_reader_writer/
[11]GORM之ErrRecordNotFound采坑记录: https://juejin.im/post/5dff33c7518825126131ce30
[12]提升Go磁盘IO性能的尝试: https://sevenyu.top/2019/12/15/reducing-costs-of-disk-I/O-in-Go.html
[13]GOMAXPROCS 与容器的相处之道: http://gaocegege.com/Blog/maxprocs-cpu
[14]谈谈go.sum: https://segmentfault.com/a/1190000021425527
[15]evalfilter: https://github.com/skx/evalfilter/
[16]age: https://github.com/FiloSottile/age
[17]chromedp: https://github.com/chromedp/chromedp
[18]sqlstats: https://github.com/dlmiddlecote/sqlstats
[19]buf: https://github.com/bufbuild/buf
[20]coca: 系统重构和系统分析工具箱: https://github.com/phodal/coca
[21]eris: 处理跟踪和记录 Go 中的错误: https://github.com/rotisserie/eris
[22]go-term-markdown: https://github.com/MichaelMure/go-term-markdown
[23]trdsql: https://github.com/noborus/trdsql
[24]KubeCon North America 2019 视频列表: https://www.youtube.com/watch?v=F1w7P2H1gwY&list=PLBOtlFtGznBjuTVfzSZDoLLPbemn1CW7g
[25]go-flutter: https://github.com/go-flutter-desktop/go-flutter
[26]go time 播客 108 期: https://changelog.com/gotime/108
[27]以软件工程师的身份学习硬件编程: https://blog.athrunen.dev/learning-hardware-programming-as-a-software-engineer/
[28]Go 常见错误: https://github.com/golang/go/wiki/CommonMistakes
[29]dockertags: https://github.com/goodwithtech/dockertags
[30]为什么在此 fib 测试中 Go 如此之慢?: https://github.com/drujensen/fib
[31]Reddit 上有人解释:: https://www.reddit.com/r/golang/comments/eegbrh/why_is_go_so_extremely_slow_in_this_fib_test/
[32]Go 语言实现常用数据结构和算法: https://github.com/x899/algorithms
[33]Go语言中文网: https://studygolang.com/go/weekly
[34]微信公众号: https://weixin.sogou.com/weixin?query=Go%E8%AF%AD%E8%A8%80%E4%B8%AD%E6%96%87%E7%BD%91
[35]今日头条: https://www.toutiao.com/c/user/59903081459/#mid=1586087918877709
推荐阅读
喜欢本文的朋友,欢迎关注“Go语言中文网”:

Go语言中文网启用微信学习交流群,欢迎加微信:274768166
文章评论